
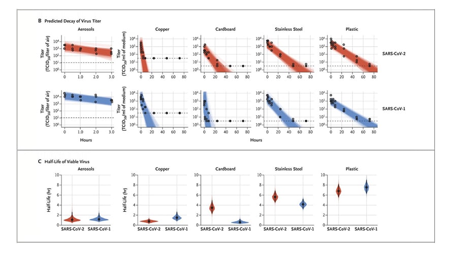
Metal, Plastik ve Kağıt: Korona virüs hangi yüzeyde ne kadar aktif kalır? Sonuçlar yeni açıklanan bir araştırmaya göre, koronavirüs hastalığına neden olan COVID-19 virüsü bazı yüzeylerde 3 güne kadar stabil (bulaşabilir özellikte) kalabiliyor. Bilim insanları, şiddetli akut solunum sendromuna neden olan ölümcül korona virüsünün aerosollerde (havada damlacıklar şeklinde yayılma) 3 saate kadar, bakır yüzeylerde 4 saate kadar, kartonda 24 saate kadar, plastik ve paslanmaz yüzeylerde ise 2 ila 3 güne kadar bulaşabilir şekilde aktif kalabildiğini açıkladılar. Saygın tıp dergisi New England Journal of Medicine’de (NEJM) yayımlana araştırma çok sayıda üniversiteden bilim insanlara tarafında yapıldı.
COVID-19 virüsünün en kolay bulaşma yolu metal ve plastik yüzeylere teması olarak açıklanırken yakın mesafenden öksürüğe maruz ta yüksek risk yaratıyor. Koronavirüsün farklı yüzeylerdeki aktif kalma ve bulaşabilme süreleri şöyle:
Koronavirüs REHBERİ: Nasıl bulaşır? Belirtileri, korunma yöntemleri ve tedavisi
COVID-19 virüslerinin kesinlikle 30 ºC (Santigrat) dereceden yüksek sıcaklıklarda aktif kalamadığı saptanmış durumda. Bu nedenle yaz sıcaklarının başlaması ile salgının ciddi oranda azalabileceği vurgulanıyor.
Araştırmanın yazarlar koronavirüslerin sıradan ev dezenfektanları tarafından etkili bir şekilde silinebildiğini ve ellerin 20 saniye süreyle yıkanması durumunda kolayca yok olabildiklerini belirtiyorlar. Örneğin, %62-71 etanol, % 0.5 hidrojen peroksit veya % 0.1 sodyum hipoklorit içeren sıradan ev dezenfektanları, korona virüsleri çok kısa sürede yok ediyor. Bunlarla silinen yüzeylerde maksimum 2 dakika sonra virüslerden eser kalmıyor.
Dezenfektan nedir? Nasıl kullanılır? Koronavirüse karşı koruma etkisi
Araştırmaya göre, %70 ve üzeri alkol içeren dezenfektan (kolonya) korona virüsleri çok etkili şekilde yok ediyor. Virüs kaplı yüzeylerin alkol ve kolonya ile silinmesi veya kolonya ile ellerin silinmesi korunmak için oldukça etkili olabilir. Ön verileri açıklanan çalışmada COVID-19 virüsünün diğer bulaşma şekilleri araştırılmaya devam edilecek.
Çalışmanın sonuçları ile ilgili bilgi veren Rocky Mountain Labaratuvarları ve ABD Ulusal Alerji ve Bulaşıcı Hastalıklar Enstitüsü’nden bilim insanları, enfekte olmuş bir kişiden öksürme veya nesnelere dokunma gibi bir ev veya hastane ortamında günlük yüzeylere virüs bulaşmasını taklit etmeye çalıştı.
Bilim adamları daha sonra virüsün bu yüzeylerde ne kadar süre bulaşıcı kaldığını araştırdı. Buna göre, COVID-19 sars ve grip (influenza) virüslerine benzer şekilde bulaşabiliyor. Ancak bunlardan farklı olarak COVID-19 virüsü ile enfekte kişiler semptomlar ortaya çıkamadan da enfeksiyonu bulaştırabiliyor.
https://www.medikalakademi.com.tr/covid-19-koronavirues-salgini/
Öncelikle hem sağlık çalışanları hem de halkın grip için geçerli korunma kurallarına uygulaması gerekiyor. Ayrıca koronavirüs bulaşmaması için:
Kaynaklar ve Referanslar:
1- Aerosol and Surface Stability of SARS-CoV-2 as Compared with SARS-CoV-1. New England Journal of Medicine2- How COVID-19 Spreads3- Basic protective measures against the new coronavirusYAZIYI PAYLAŞ
YORUMUNUZ VAR MI?